欢迎访问起重设备
返回引导页欢迎访问起重设备
返回引导页产品展示
单梁钢丝绳电动葫芦

双梁钢丝绳电动葫芦

采用德国进口的起升电机,减速器。起升电机,减速器、卷筒和起升限位开关的一体化紧凑型设计节约了用户的使用空间。模块化设计在增强了机构的可靠性的同时有效降低了维护时间和成本。
具有更快更多的起吊速度和多种滑轮倍率可供选择。标准小车运行机构采用变频器控制,速度达到20米/分,使小车行走时吊运物品摆动小、定位精确,可安全可靠地吊运精密贵重物品。
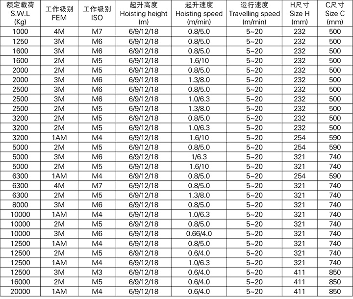
起升机构
设计严格执行FEM的相关标准。
铝合金减速器壳体
运行平稳,噪音低
终生润滑(安全使用周期内)
双碟电磁盘式制动器

