在线客服
免费咨询热线

欢迎访问起重设备

返回引导页

首页

产品展示

QD型300/40~350/75吨吊钩桥式

  • QD型300/40~350/75吨吊钩桥式
  • 详细介绍
  •  

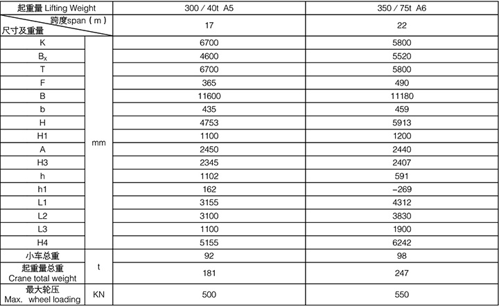
    吊钩桥式起重机300/40t 17m 350/75t 22m
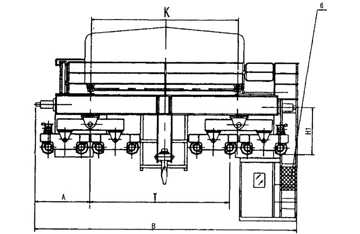
    1、电气 2、小车 3、大车 4、桥架 5、大车导电架 6、司机室保护网

     

     

  • 上一个:暂无 下一个:暂无返回产品列表